일부 문제집이나 모의고사 문항에서 겉보기 등급을 표현하기 위해 "육안으로 본 등급' 또는 '맨눈으로 보았을 때의 등급'을 사용하는 것을 자주 봅니다. 그런데, 이 표현은 잘못되었을 뿐 아니라 천문학에서 사용하는 다른 용어를 지칭함으로써 혼란을 일으킬 수 있습니다.
겉보기 등급은 거리의 문제입니다. 무엇으로 관측했는가의 문제가 아닙니다. 맨눈으로 보든, 망원경을 통해 보든, 사진건판 또는 필름으로 측정하든, CCD나 CMOS 등의 전자소자로 측정하든, 방법 및 수단에 관계 없이 별의 밝기를 실제로 측정한 모든 것이 겉보기 등급입니다.
그런데, 별의 밝기는 거리에 따라 달라지기 때문에 겉보기 등급만으로는 별이 방출하는 에너지량을 동등하게 비교할 수 없습니다. 따라서, 별들이 10pc의 거리에 옮겨졌다고 가정했을 때의 밝기를 등급화하여 사용하는데 이것이 절대 등급입니다.
천문학에서 '육안으로 본 등급'은 안시 등급(visual magnitude)이라고 합니다. 어떤 장치를 이용하여 빛의 밝기를 측정했는지에 따라 별의 밝기가 달라지지요. 그래서 사진으로 측정한 사진 등급과 안시 등급은 값이 다릅니다. 육안으로 측정한 겉보기 등급은 안시 겉보기 등급이며, 그것을 절대 등급으로 변환한 것은 안시 절대 등급입니다. 다른 측정기에 대해서도 마찬가지입니다. 사진으로 측정하면 사진 겉보기 등급이나 사진 절대 등급 등으로 표현할 수 있습니다.
그렇다면 겉보기 등급은 어떻게 표현하는 것이 좋을까요? 사실 '별의 밝기에 대한 등급'이라는 표현 하나로 겉보기 등급을 완전하게 서술할 수 있습니다. 밝기는 별이 얼마나 많은 에너지를 방출했는지를 묘사하는 것이 아니라, 관측자가 보기에 얼마나 밝아보이는가를 서술하는 물리량입니다. 그렇기 때문에 별로부터 멀리 있는 관측자에게는 밝기가 작은 것이 당연합니다. 별의 실제 거리에서 관측한 밝기에 해당하는 등급이 겉보기 등급입니다.
절대 등급과 겉보기 등급을 거리와 관련하여 명시적으로 설명하고자 하는 경우에는, 겉보기 등급과 절대 등급을 각각 "실제 거리의 등급"과 "동일 거리의 등급"으로 표현하는 것도 고려해볼만 합니다.
푸른행성의 과학, http://www.skyobserver.net/
별과 우주
2007.11.17 19:15
겉보기등급은 '육안으로 본' 등급인가?
조회 수 20339 추천 수 0 댓글 0
모바일로 이 글 보기:
조영우
푸른행성의 과학 | 유튜브 채널 | 3D 지구과학 | 가상지구과학 VirGL | Youngwoo Cho Photography
-
Read More
안시등급은 실시등급이 아닙니다.
안시등급은 실시등급이 아닙니다. 그 이유에 대해서는 맨 아래 참고 문헌의 첫번째 링크에서 설명하였습니다. 1. 국내 포털 싸이트의 잘못된 서술 먼저 국내외의 각종 출처에서 이 사실을 어떻게 다루고 있는지 살펴보겠습니다. 왜냐하면, 공신력 있어야 할 이런 싸이트가 이 사실을 잘못 다루고 있고, 이 싸이트를 참고하는 많은 사람들이 계속해서 잘못된 표현을 재생산하고 있기 때문입니다. 포털 싸이트 다음에는 이렇게 서술되어 있습니다. 화면 캡쳐 시각은 2008년 11월 24일 0시 근방에 이루어졌습니다. 여기서 위키 백과를 클릭해 ... -
Read MoreNo Image
겉보기등급은 '육안으로 본' 등급인가?
일부 문제집이나 모의고사 문항에서 겉보기 등급을 표현하기 위해 "육안으로 본 등급' 또는 '맨눈으로 보았을 때의 등급'을 사용하는 것을 자주 봅니다. 그런데, 이 표현은 잘못되었을 뿐 아니라 천문학에서 사용하는 다른 용어를 지칭함으로써 혼란을 일으킬 수 있습니다. 겉보기 등급은 거리의 문제입니다. 무엇으로 관측했는가의 문제가 아닙니다. 맨눈으로 보든, 망원경을 통해 보든, 사진건판 또는 필름으로 측정하든, CCD나 CMOS 등의 전자소자로 측정하든, 방법 및 수단에 관계 없이 별의 밝기를 실제로 측정한 모든 것이 겉보기 등... -
Read More
등급의 정의와 관계식
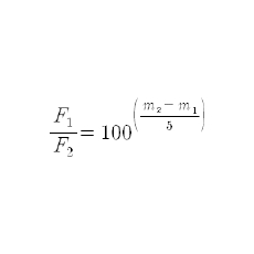
사람의 눈은 외부에서 주어지는 빛의 자극에 대하여 로그함수적으로 반응합니다. 예를 들어 세 천체 A, B, C의 플럭스 밀도의 비가 1:10:100이라고 할 때, B는 C보다 10배 더 밝고, A도 B보다 10배 더 밝습니다. 하지만, 우리의 눈은 B와 C의 밝기 차이와 A와 B의 밝기 차이가 같다고 인식합니다. 다시 말해, 자연계에서는 배수로 표현되는 것이 우리 눈으로는 차이로 인식되는 것입니다. 배수를 차이로 변환해주는 함수는 로그함수입니다. 기원전 2세기 경 히파르코스(Hipparchos)는 별들의 밝기를 눈에 보이는 그대로 순서를 매겨서 6 등...
